高亲铁元素(HSE)因其高金属/硅酸盐分配系数,常富集于地幔中的合金、硫化物等矿物中,是研究地幔过程的重要示踪剂。蛇绿岩中的铬铁矿矿体以富集HSE,特别是铱族铂族元素(IPGE)而闻名,但其对地幔其他岩石及不均一性的影响尚不清楚。锇同位素(Re-Os体系)因能反映地壳-地幔相互作用,成为研究地幔演化的关键工具。然而,蛇绿岩中Os同位素的不均一性及其成因机制仍存在争议。铬铁矿被认为是强亲铁元素的“搜集器”,但铬铁矿如何调控难熔地幔的HSE富集与Os同位素分异尚不清晰。该问题对理解俯冲带地幔演化、壳幔物质循环及铬铁矿成矿机制至关重要。
中国科学院地质与地球物理研究所苏本勋研究员等选取土耳其东南部的Pozantı-Karsantı和Kızıldağ蛇绿岩为研究对象,采集了35个铬铁矿石样品(图1),对分离出的铬铁矿、硅酸盐基质和磁铁矿开展了HSE含量和Re-Os同位素组成分析。
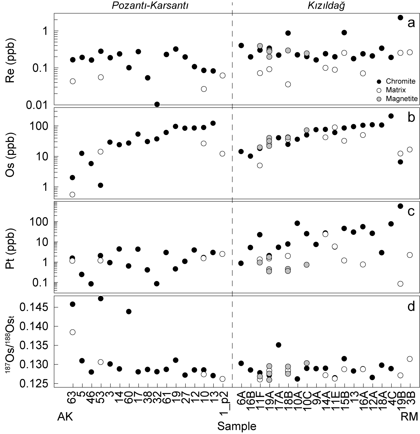
结果显示,铬铁矿部分较硅酸盐基质显著富集HSE(特别是IPGE),但Os同位素组成无明显差异,表明铬铁矿是HSE的主要载体(图2),而铬铁矿石的HSE和Os同位素组成与橄榄岩明显不同(图3)。结合全球蛇绿岩中地幔橄榄岩和铬铁矿石数据,他们建立了“铬铁矿成分控制模型”:HSE含量及分异(如Pt/Ir)与铬铁矿Cr#正相关,高Cr#铬铁矿更易富集IPGE;低Cr#(<45)橄榄岩的HSE-Os同位素符合部分熔融趋势(187Os/188Os随Cr#升高而降低);Cr#>45的橄榄岩HSE变化较大,Os同位素趋向铬铁矿矿体,指向铬铁矿熔体交代作用(图4,图5)。

图1 土耳其蛇绿岩分布、Pozantı-Karsantı和Kızıldağ蛇绿岩地质简图及代表性样品岩石学特征

图2 Pozantı-Karsantı和Kızıldağ蛇绿岩中铬铁矿石不同组分的HSE和Os同位素组成

图3 Pozantı-Karsantı和Kızıldağ蛇绿岩中铬铁矿石和橄榄岩的HSE和Os同位素组成对比

图4 全球蛇绿岩中铬铁矿石和橄榄岩的HSE组成与铬铁矿Cr#的相关性图解

图5 全球蛇绿岩中铬铁矿石和橄榄岩的Re-Os同位素组成与铬铁矿Cr#的相关性图解
该研究厘清了铬铁矿通过其化学组成调控HSE分异,是蛇绿岩地幔HSE和Os同位素变化的关键驱动力。低Cr#橄榄岩反映部分熔融,而高Cr#橄榄岩指示与铬铁矿形成熔体或演化熔体的交代作用。这一发现深化了对蛇绿岩地幔形成机制的理解,为地幔动力学研究提供了新视角,同时为铬铁矿床勘探提供了地球化学依据。
研究成果发表于国际学术期刊GCA (苏本勋,Ibrahim Uysal,Recep Melih Akmaz,潘旗旗,Yılmaz Demir,Lukáš Ackerman,Paul T. Robinson. Chromite as a key player on highly siderophile elements and osmium isotope compositions of the refractory mantle[J]. Geochimica et Cosmochimica Acta, 2025. DOI: 10.1016/j.gca.2025.04.026.)。研究得到国家自然科学基金(42350001和92462305)的资助。