位于西伯利亚、卡拉库姆-塔里木板块、华北板块和东欧板块之间的中亚造山带(或阿尔泰拼贴体)不同于环太平洋俯冲型和阿尔卑斯-喜马拉雅山碰撞型造山带,是典型的增生型造山带,也是全球显生宙大陆地壳生长最显著的地区。目前对大陆地壳生长机制的认识有两种截然不同的模型:1)大陆地壳的生长全部通过大洋板块俯冲诱导的增生造山完成,简称为‘侧向增生模型’,该机制类似于现在的环太平洋增生型造山带;2)不仅承认洋陆俯冲体制下的侧向增生过程,而且特别强调后碰撞大陆地壳在深部幔源物质底垫过程中的垂向生长,简称为‘双向增生模型:洋陆体制的侧向增生+后碰撞垂向增生’。奠定这两种模型的关键是对伊犁地块和塔里木地块碰撞造山结束时间的精确限定和对花岗质岩石的成因认识。
塔里木和伊犁地块之间的碰撞、拼合标志着中亚造山带西南缘造山作用的结束,形成了西起乌兹别克斯坦,经塔吉克斯坦、吉尔吉斯坦、哈萨克斯坦,东延至我国新疆和甘肃交界,约2500 km的南天山造山带。多年来,地质学家认为塔里木和伊犁地块之间的碰撞发生在晚古生代。近年来部分学者根据西天山榴辉岩中锆石的SHRIMP U-Pb年龄(233-226 Ma),提出塔里木和伊犁地块之间的碰撞发生三叠纪,在学术界引起了激烈争议。同时也是衍生出两种中亚造山带地壳生长模型。
地质与地球物理研究所固体矿产资源研究室的研究员高俊和博士研究生龙灵利等对此开展了一系列的研究,他们于2010年对西天山高压-超高压变质带中榴辉岩锆石Cameca U-Pb年代学研究,获得榴辉岩的峰期变质年龄为320 Ma,从而限定了塔里木和伊犁地块之间的碰撞事件发生的时间的下限。2011年又报道了一切穿高压/超高压变质带的S型花岗岩脉,确定了伊犁地块和塔里木地块之间碰撞时间的上限。
一条宽约2 m ~ 8 m、北西310方向延伸约300 m的花岗岩脉切穿了高压/超高压变质带。岩脉由角闪石黑云母花岗岩、黑云母花岗岩、二云母花岗岩、含黑云母花岗岩、似斑状花岗岩组成,直接围岩为含石榴石黑云母斜长片麻岩、含红柱石黑云母斜长片麻岩和含电气石黑云斜长片麻岩等接触变质岩,外围围岩为绿泥石白云母钠长石片岩、绿泥绿帘石阳起石片岩和蓝闪石片岩。花岗岩脉的A/CNK在1.1~1.27间, 平均1.19,说明其为过铝质花岗岩。稀土元素成分显示强烈的Eu负异常,δEu在0.03 ~ 0.28间,平均0.09。花岗岩脉的CaO/ Na2O 比值从 0.06到 0.17间变化、Al2O3 / TiO2 比值 240 到525, 类似于喜马拉雅后碰撞强过铝质花岗岩SP granites (Sylvester, 1998)。高精度离子探针获得花岗岩脉锆石284.9 ± 2.0 Ma。为榴辉岩相变质年龄的上限,表明西天山高压-超高压变质作用年龄早于二叠纪。
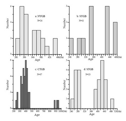
图1:西天山花岗质岩石的锆石U-Pb年龄统计直方图
a: 伊犁地块北缘花岗岩带, b:伊犁地块南缘花岗岩带, c: 中天山花岗岩带, d:南天山的花岗岩带
图2:西天山花岗质岩石的Sr-Nd同位素组成
NTGB-北天山花岗岩带,NYGB-伊犁地块北缘花岗岩带, SYGB-伊犁地块南缘花岗岩带, CTGB-中天山花岗岩带, STGB-南天山的花岗岩带

图3:西天山地壳生长的两阶段模型
西天山花岗质岩石的出露面积约占整个造山带的30%,他们选择了20余个代表性岩体进行了岩石学、地球化学与同位素年代学的研究,并综合目前已经发表的花岗质岩石的U-Pb年代学和Sr-Nd同位素数据,初步构建了西天山花岗质岩石的年代学框架(图1),探讨了其Sr-Nd同位素特征(图2)。锆石U-Pb年龄分布在896 Ma 至247 Ma间,87Sr/86Sr 初始比在 0.70329至 0.72070间,εNd值从-14.1变化到+7.3。新元古代花岗片麻岩的产出表明西天山具前寒武纪基底。洋陆俯冲过程中,大陆地壳生长通过洋壳熔体的直接添加、上地幔楔部分熔融产生基性岩浆的侵入和基性岩浆与大陆基底混合产生的花岗质岩浆上涌等方式实现。后碰撞时期,板片断离诱发的软流圈地幔物质的上涌、底侵造就了大陆地壳的垂向生长。
中亚造山带的显生宙大规模地壳生长可以用这两阶段模型解释,早期洋陆俯冲阶段岛弧物质的侧向添加+ 晚期后碰撞幔源物质垂向底垫(图3)。
该研究成果近期发表在国际知名的构造学期刊Tectonophyics(Gao. et al. The collision between the Yili and Tarim blocks of the Southwestern Altaids: Geochemical and age constraints of a leucogranite dike crosscutting the HP–LT metamorphic belt in the Chinese Tianshan Orogen. Tectonophyics. 2011, 499: 118-131)和Lithos上(Long. et al. Geochemical and geochronological studies of granitoid rocks from the Western Tianshan Orogen: Implications for continental growth in the southwestern Central Asian Orogenic Belt. Lithos. 2011, 126: 321-340)。
原文链接
Tectonophyics
Lithos