液态水的存在是评估行星宜居性和寻找地外生命的重要指标之一。NASA早期的观测研究显示土卫六(Titan)表面覆盖着有机质云集的甲烷湖泊,通过卡西尼(Cassini)任务探测初期研究认为其冰壳下约100公里深处可能存在液态水–氨混合物, 甚至可能是全球性的地下海洋(Iess et al., 2012)。这类地下海洋的存在也可以为构成类地球生命提供基础环境,因此探索冰卫星的内部结构和演化过程是现代行星科学重要的研究前沿。
太阳系内行星及其卫星的内部结构研究长期以来依赖于重力信号(包括全球重力场、自转状态和潮汐变形)观测数据(Anderson et al.,1996; Yoder et al., 2003; Zuber et al., 2013; Le Maistre et al., 2023; Park et al., 2025)。冰卫星潮汐变形的观测主要是测量其潮汐勒夫数,考虑到变形与力源特性,通常测量其二阶潮汐勒夫数(k₂)。由于冰卫星并非完美的弹性体,其潮汐形变并非瞬时弹性响应,而是包含应力–应变相位滞后的粘弹性过程,其中二阶潮汐勒夫数的实部 Re(k₂) 描述了形变幅度,虚部 Im(k₂) 描述了潮汐耗散强度。因为液态层能够在力学上将冰壳与内部解耦,从而显著放大潮汐形变幅度。所以一直以来二阶潮汐勒夫数的实部 Re(k₂)项被广泛用于判识冰壳之下是否存在全球性地下液态海洋。基于航天器射电跟踪数据,研究人员可以获取潮汐勒夫数及潮汐相位延迟,揭示目标天体的粘弹性潮汐变形特征,从而推断目标天体的内部(弹性与粘弹性)结构。在这一理论框架下,较大的 Re(k₂) 通常被视为地下海洋存在的直接证据,并构成了冰卫星“地下海洋”的重要观测基础。然而,这种判据在很大程度上缺少了潮汐响应的另一个关键因子——潮汐耗散(观测上表现为潮汐相位角延迟)。尽管这部分在理论上早已明确,但受限于观测精度和数据处理方法,长期以来对 Im(k₂) 缺乏直接测量,导致关于冰卫星地下海洋的推断往往仅关注了潮汐响应的形变幅度而忽略了能量耗散这一同样关键的物理量。
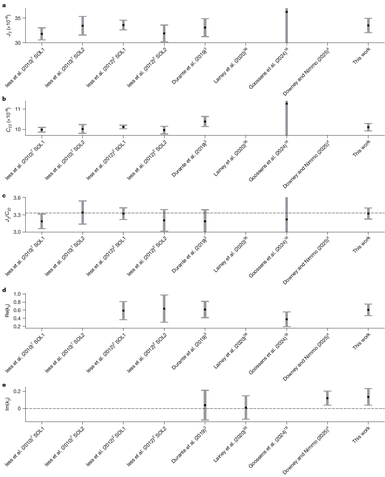
加州理工学院喷气推进实验室的Petricca et al.(2025)基于卡西尼号的射电跟踪数据,通过改进信号处理与参数反演方法,在土卫六(Titan, 泰坦)重力信号观测中直接获得了土卫六复潮汐勒夫数(Re(k₂) + i Im(k₂))。与已有研究一致,Petricca等人的结果也验证了土卫六的潮汐勒夫数具有较大实部 Re(k₂)(0.608±0.048), 同时估算出土卫六潮汐勒夫数虚部 Im(k₂)(0.135±0.035)。据此可以计算潮汐品质因子(Q = |k2|/Im(k2))为 4.5 ± 1.1,表明土卫六内部存在较强的潮汐耗散现象并可进一步用于揭示其内部粘滞性结构(图1)。

图1 基于卡西尼号的射电跟踪数据获取的土卫六重力场与潮汐勒夫数。(a)J2 (重力场二阶系数); (b) C22 (重力场二阶系数); (c) J2/C22 (用于揭示土卫六内部是否处于静水压平衡状态);(d) Re(k2) (土卫六潮汐Love数实部);(e) Im (k2) (土卫六潮汐Love数虚部)
研究团队基于贝叶斯反演框架,结合Re(k2)、Im(k2)、J₂/C₂₂、平均密度、平均惯性矩因子(MoI) 等多种观测量联合约束,综合考虑了粘弹性流变以及内部各层物质可能产生的能量耗散,系统性构建了存在地下海洋和无地下海洋等两类内部结构模型,并将得到的反演结果与观测进行比较。最终得到的结果表明:若土卫六内部存在全球性地下液态海洋,其潮汐耗散应主要受限于冰壳的弹性变形及海洋中近似无耗散的流动过程,难以产生如此大的 Im(k₂)。相反,观测所揭示的强耗散特征更符合以粘弹性固态层为主导的潮汐响应模式,这意味着土卫六的潮汐响应可以通过不包含全球地下海洋的内部结构模型加以解释(图2)。

图2 土卫六有/无地下海洋模型的潮汐勒夫数k2的后验分布以及与观测结果的对比。(a)无地下海洋模型与观测的对比;(b)有地下海洋模型与观测的对比结果
该模型中潮汐耗散主要集中发生在接近熔点并具有较低黏度的高压冰层中,这类高压冰层在潮汐频率下表现出显著的粘弹性行为,进而可以同时产生较大的形变幅度和强烈的能量耗散。虽然该模型排除了全球性地下海洋存在的情况,但却不能排除冰层内部或边界存在局部的熔融或者液态水的情况(图3)。

图3 土卫六内部结构示意图。土卫六内部存在高压冰层,该冰层可能由冰 III、冰 V、冰 VI以及少量部分熔融物构成
这项研究表明,较大的潮汐勒夫数 Re(k₂)项并非判定地下海洋的充分条件。在特定热力学与流变条件下,高度可变形且强耗散的固态层也可产生与地下海洋模型相似的形变信号,但物理性质却截然不同。这项研究的意义不仅局限于土卫六的研究:当前对已知多颗冰卫星(如木卫二Europa、木卫三Ganymede、土卫二Enceladus等)地下海洋存在状态的推断同样在较大程度上依赖于潮汐形变幅度或重力异常的解释,这项对土卫六的研究意味着若缺乏对潮汐耗散的约束,仅凭潮汐形变程度大小可能无法在液态层与高度耗散的固态层之间做出有效判别。该研究凸显了在未来行星探测任务中获取潮汐勒夫数虚部的重要性,而高精度、长时间基线的重力场观测,将是一个关键环节。同时,对冰流变性质的实验研究,以及耦合潮汐作用的热对流数值模型,也将对理解潮汐耗散起到重要作用。未来冰卫星内部结构研究需要将潮汐耗散系统性地纳入分析框架,综合其他物理量约束,才可能对内部结构给出更为准确的物理解释,为冰卫星内部结构与宜居性研究提供更加可靠的物理基础。
主要参考文献
Anderson J D, Lau E L, Sjogren W L, et al. Gravitational constraints on the internal structure of Ganymede[J]. Nature, 1996, 384(6609): 541-543.
Iess L, Jacobson R A, Ducci M, et al. The tides of Titan[J]. Science, 2012, 337(6093): 457-459.
Le Maistre S, Rivoldini A, Caldiero A, et al. Spin state and deep interior structure of Mars from InSight radio tracking[J]. Nature, 2023, 619(7971): 733-737.
Park R S, Berne A, Konopliv A S, et al. Thermal asymmetry in the Moon’ s mantle inferred from monthly tidal response[J]. Nature, 2025: 1188-1192.
Petricca F, Vance S D, Parisi M, et al. Titan’ s strong tidal dissipation precludes a subsurface ocean[J]. Nature, 2025, 648(8094): 556-561.(原文链接)
Yoder C F, Konopliv A S, Yuan D N, et al. Fluid core size of Mars from detection of the solar tide[J]. Science, 2003, 300(5617): 299-303.
Zuber M T, Smith D E, Watkins M M, et al. Gravity field of the Moon from the Gravity Recovery and Interior Laboratory (GRAIL) mission[J]. Science, 2013, 339(6120): 668-671.
(撰稿:李杨,万博/岩石圈演化学科中心,徐长仪/地球与行星物理学科中心)