白云岩[CaMg(CO3)2]是沉积岩,是碳酸盐岩中分布非常广泛的一种岩石,而且年代越老,分布越多,在其被发现的二百多年时间里,其成因一直是“谜”一样的存在:在常温常压条件下,由于镁离子的水合作用,会造成白云石形成的动力学障碍,所以很难在常温常压条件的正常地表环境里大规模形成白云石,即所谓的“白云石(岩)问题”。虽然现在一些研究证实在地表某些特殊条件下(如高盐度、硫酸盐还原菌介导、胞外聚合物和有机物脱羧等)可以克服这种动力学障碍,形成白云石前驱物——原白云石(protodolomite),但对促进这些白云石化作用发生的化学反应过程仍知之甚少。
之前,白云岩成因动力学的研究通常建立在与盐湖和泻湖密切相关的基础上,至今仍没有对溶解性锌的反应路径和及其在白云化作用中的动力学机制开展过研究。基于上述情况,诺丁汉大学的Vandeginste et al.(2019)首次通过间隙式反应实验对锌离子催化白云化反应路径及反应速率进行了研究,相关成果近期发表在Nature Communications上。
该研究发现白云化作用的反应路径可分为3个阶段:最初的诱导期,紧随的转变期(方解石向原生白云石转变),以及最终的重结晶阶段(原生白云石-高度有序白云石)。这些反应物的转变可分别由104峰和105峰的位移加以识别(图1)。溶解-沉淀这一耦合作用是白云石化反应路径的关键,原生白云石的沉淀通常发生在流体-矿物的接触面上,并外延至溶解的方解石表面;最后熟化形成菱形、亚微米级大小(0.3-0.8 μm)的化学计量白云石,与原始椭圆形的方解石颗粒形成显著差异。而对形成矿物的研究则发现,除方解石、原生白云石和白云石外,还发现有微量的水镁石[Mg(OH)2]和氯水锌矿[Zn5(OH)8Cl2·(H2O)]产生。若以红锌矿(ZnO)代替ZnCl2溶液,则红锌矿在反应最初的3小时内已完全溶解,形成的氯水锌矿含量更为显著。

图1 间隔4, 8和12小时的反应产物X-衍射图样(20-70° 2θ)。(a):白云石特征反射峰;(b):方解石特征反射峰。部分峰值(31.7° 2θ)由反应产物清洗过程中未完全溶解或样品干燥过程结晶的微量石盐所导致
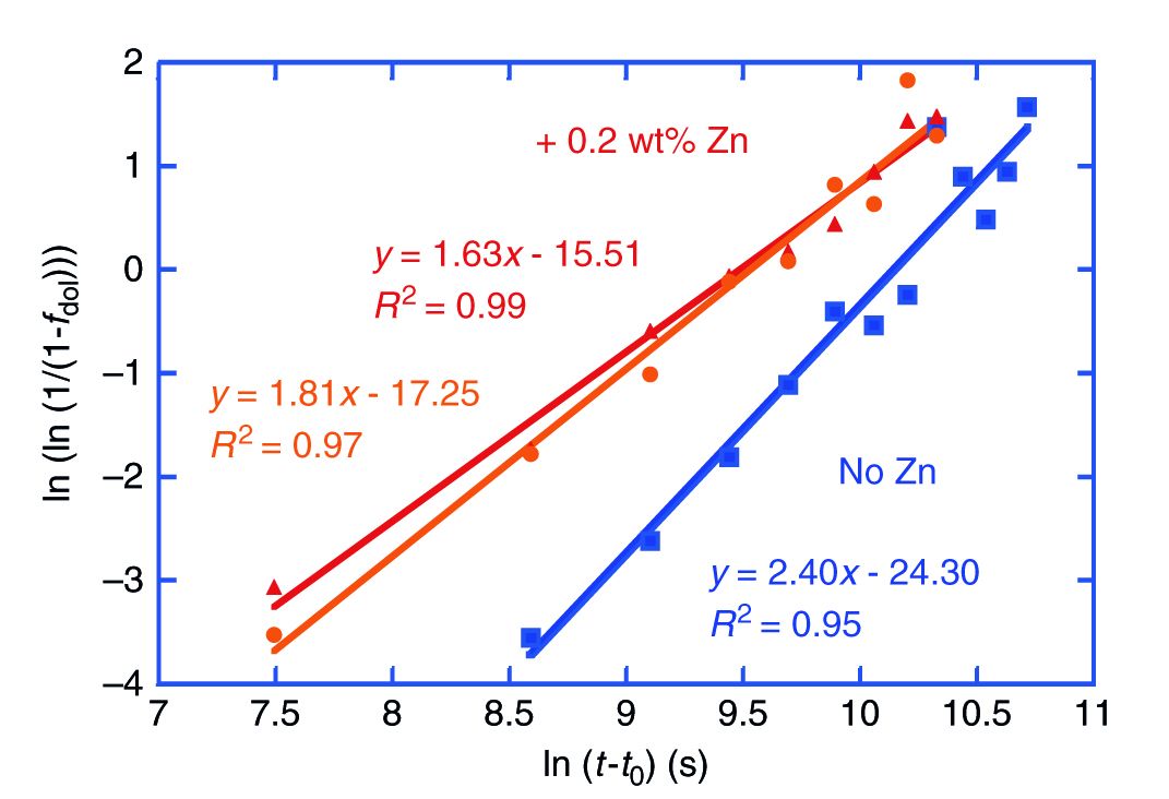
他们的研究认为白云石化反应速率与溶液中溶解的锌的浓度密切相关,而与锌的来源(ZnCl2抑或ZnO)无关。而在锌促进白云石化反应速率研究中发现,溶液中加入ZnCl2形成的正二价锌水合物,能显著缩短诱导期的时间,提高原生白云石形成的反应速率(图2)。这是因为锌离子具有比镁离子更高的水合焓,能促使镁离子脱水作用的发生;同时有利于镁离子进入原生白云石的矿物晶格。当溶液中锌离子的浓度越高时,白云石化作用的反应速率越快。用Avrami方程模拟的结果也支持这一假设,指示锌离子的加入可促进白云石化作用。更有意思的是,无论是向溶液中加入ZnCl2还是ZnO,两者的反应速率非常类似(图3),指示反应速率与锌的来源(ZnCl2或ZnO)无关。进一步实验模拟发现当溶液中含有硫酸盐时,溶解锌的加入仍能极大地促进白云石化作用的反应效率,降低硫酸盐对白云石化作用的抑制效应。

图2 白云石交代方解石反应速率曲线。(a):200°C条件下,溶液中加入0.2 wt%锌可使方解石白云化的时间减少一半;(b):溶液中加入少量的锌离子在8小时反应时间内可急剧增加(原生)白云石的数量

图3 200°C条件下白云化作用Avrami模拟实验结果交汇图,线性趋势线指示白云化作用反应速率与时间指数的最佳拟合结果。蓝色:不含锌溶液;红色:含ZnCl2溶液;橙色:含ZnO溶液
Vandeginste等人的研究结果对于解决白云石化作用与密西西比河谷型铅锌矿床的成因联系具有非常重要的理论意义。由于这一成果是在较高温度条件下获得的,能否外推至低温白云石的成因仍然存在不确定性,需要后续研究予以证实。
主要参考文献
Vandeginste V, Snell O, Hall M R, et al. Acceleration of dolomitization by zinc in saline waters[J]. Nature communications, 2019, 10(1): 1851.(原文链接)
(撰稿:陈代钊/油气室)