
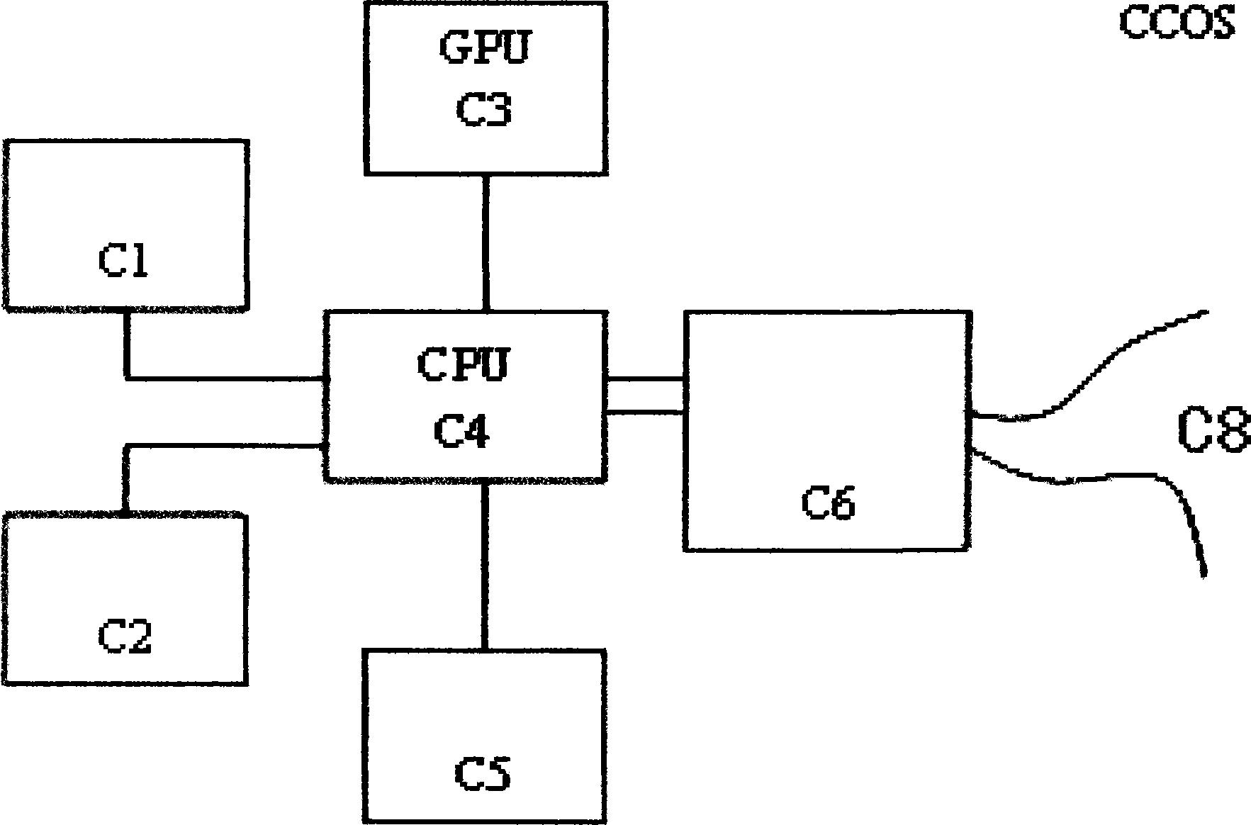
本发明涉及一种GPU/CPU协同方式可控震源数据相关处理设备及方法,为解决现有技术结构复杂、可靠性差问题,其由六大单元组成:存储器或者内存、存储设备、图形处理器GPU、中央处理器CPU、终端和野外数据采集接口;野外数据采集接口通过千兆光缆与野外部件相连采集地震野外数据,由两条绑定的千兆网线提供野外数据采集接口与CPU之间的连接,通过CPU主板上的高速接口连接GPU、存储器和存储设备,终端设备也连接在CPU主板上。其能对可控震源的原始记录进行快速的相关等处理,具有可控震源相关技术部件结构简单,可靠性提高,成本大大降低、数据处理能力显著提高,系统升级能力也相应提高,显著提高地震仪器的实时带道能力和采集效率的优点。 |